批量搜索

熊去氧胆酸EP杂质A;鹅去氧胆酸

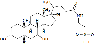
Urosodeoxycholic Acid EP Impurity A; Chenodeoxycholic acid
产品编号:DS008 CAS NO.:474-25-9 分子式:C24H40O4 分子量:392.5720 产品性状:白色粉末 存储:密封干燥,2-8°C
货号 HPLC 品牌 规格 货期 库存 价格 操作
DS008-1mg 98% 泽康 1mg 现货
市场价:询价 会员价:询价
中文名称 熊去氧胆酸EP杂质A;鹅去氧胆酸
英文名称 Urosodeoxycholic Acid EP Impurity A; Chenodeoxycholic acid
英文别名 URSODEOXYCHOLOC ACID;3,7-dihydroxy-,(3-alpha,5-beta,7-alpha)-cholan-24-oicaci;3,7-dihydroxy-,(3alpha,5beta,7alpha)-cholan-24-oicaci;3,7-Dihydroxy-5-Cholanicacid;3-alpha,7-alpha-dihydroxy-5-beta-cholan-24-oicaci;3-alpha,7-alpha-dihydroxy-5-beta-cholan-24-oicacid;3-alpha,7-alpha-dihydroxycholanicacid;3-alpha,7-alpha-dihydroxycholansaeure;(4R)-4-((3R,7R,8R,9S,10S,13R,14S,17R)-3,7-Dihydroxy-10,13-dimethylhexadecahydro-1H-cyclopenta[a]phenanthren-17-yl)pentanoic acid;ABAMACHEM ABA-7665421;CDCA;CHENODEOXYCHOLIC ACID(RG);3α,7α-Dihydroxy-5β-cholanic Acid;3α,7α-Dihydroxy-5β-cholanic acid;474-;5β-Cholanic Acid-3α,7α-diol;Anthropodesoxycholic acid;anthropododesoxycholicacid;Chendiol;chendol;Chenic acid;Chenix;Chenocol;Chenodex;Fluibil;Gallodesoxycholic acid;Hekbilin;Kebilis;Ulmenide;Chenodiol;3alpha,7alpha-Dihydroxy-5beta-cholanic acid;Ursodeoxycholic acid EP Impurity A;Chenodeoxycholic acid;Chenodesoxycholic acid;Chenodeoxycholate;Anthropodeoxycholic acid;Chenofalk;Anthropododesoxycholic acid;Chenodesoxycholsaeure;Xenbilox;Henohol;Chenique Acid;Chenodiol [USAN];Sodium chenodeoxycholate;Acido chenodeoxicholico;Chenodesoxycholsaeure [German];Acide chenodeoxycholique;7-alpha-Hydroxylithocholic acid;Acidum chenodeoxyc;Chenodeoxycholic Acid
CAS号 474-25-9
分子式 C24H40O4
分子量 392.57
纯度 98%
产品编号(Product Number):
批号(Lot Number):
暂无产品说明书

相关产品

鹅去氧胆酸杂质1
DS001 2958-05-6 C24H36O4 388.54024
货期:现货
熊去氧胆酸EP杂质A;鹅去氧胆酸
DS008 474-25-9 C24H40O4 392.5720
货期:现货
鹅去氧胆酸杂质2;鹅脱氧胆酸甲酯
DS015 3057-04-3 C25H42O4 406.59858
货期:现货
熊去氧胆酸EP杂质C; 鹅去氧胆酸EP杂质C; 石胆酸
DS016 434-13-9 C24H40O3 376.5726
货期:现货
鹅去氧胆酸杂质3;鹅去氧胆酸乙酯
DS017 69700-82-9 C26H44O4 420.63
货期:现货
熊去氧胆酸EP杂质F;鹅去氧胆酸EP杂质F;7-酮基石胆酸
DS022 4651-67-6 C24H38O4 390.556128025055
货期:现货
鹅去氧胆酸杂质4;鹅去氧胆酸丁酯
DS026 NA
货期:现货
熊去氧胆酸EP杂质G;鹅去氧胆酸EP杂质G
DS027 10538-55-3 C25H42O4 406.59900
货期:现货
鹅去氧胆酸杂质5;牛磺鹅去氧胆酸
DS028 516-35-8 C26H45NO6S 499.7036
货期:现货
鹅去氧胆酸杂质6;甘氨鹅去氧胆酸乙酯
DS041 70779-05-4 C28H47NO5 477.676
货期:现货
鹅去氧胆酸杂质7;甘氨鹅脱氧胆酸
DS042 640-79-9 C26H43NO5 449.6233
货期:现货
鹅去氧胆酸杂质8
DS048 1632118-78-5
货期:现货
鹅去氧胆酸EP杂质H
DS051 2458-08-4 C24H38O5 406.55552
货期:现货
熊去氧胆酸EP杂质D;鹅去氧胆酸EP杂质D;熊果胆酸
DS075 2955-27-3 C24H40O5 408.57100
货期:可定制
鹅去氧胆酸EP杂质I;鹅去氧胆酸二聚体
DS077 NA
货期:现货
鹅去氧胆酸杂质10
DS083 2616-71-9 C29H46O6 490.67194
货期:现货
鹅去氧胆酸杂质11
DS086 93701-16-7
货期:现货
鹅去氧胆酸杂质12
DS087 60354-41-8 C27H42O5 446.619
货期:现货
鹅去氧胆酸杂质13
DS094 111992-94-0 C31H46O4 482.694550037384
货期:现货
鹅去氧胆酸杂质14
DS095 1352328-64-3 C31H44O4 480.678669929504
货期:现货
鹅去氧胆酸杂质15
DS096 10452-65-0 C27H42O5 446.619
货期:现货
鹅去氧胆酸杂质16
DS099 7753-72-2 C25H38O4 402.566828250885
货期:现货